最近、ハッシュ関数(SHA-256 とか)について調べる機会があったのでメモします。
はじめに
パスワードを保存する時そのまま平文で保存するにはセキュリティ的にあれです。じゃどうするか?暗号化?よく使われるのが(暗号学的)ハッシュ関数です。…そう暗号化とハッシュ化は別物!!!別物!!!別物!!!
暗号とハッシュ関数
暗号とは
第三者に漏れないように、当事者間でのみ解読できるよう取り決めた特殊な記号や文字。
(大辞林 第三版 より)
重要なことは、暗号は復号とセットだということです。データの秘匿が目的であり元に戻すことが前提となっています。
ハッシュ関数とは
任意のデータから、別の(多くの場合は短い固定長の)値を得るための操作、または、その様な値を得るための関数のこと。
(Wikipedia より)
ハッシュ関数そのものは、簡単に言ってしまえば与えられた入力から別の出力を得る関数のことです。さまざまな場面で利用されており、たとえばチェックサムやハッシュテーブルなんかが分かりやす例です。
重要なことは、暗号とは異なり一方向の変換であるということ。つまりデータの置換が目的です。
暗号学的ハッシュ関数
ハッシュ関数のうち、暗号など情報セキュリティの用途に適する暗号数理的性質をもつもの。任意の長さの入力を(通常は)固定長の出力に変換する。
(Wikipedia より)
ハッシュ関数の中でもとくに、
- ハッシュ値(出力)からもとのメッセージ(入力)を求めることが困難であること(原像計算困難性)
- ある入力 1 が与えられた時、同様の出力となる(衝突する)別の入力 2 を求めることが困難であること(第 2 原像計算困難性)
- 同様の出力となる、異なる入力 1、入力 2 を求めることが困難であること(強衝突耐性)
を満たすものを暗号学的ハッシュ関数と呼ぶようです。雑に言ってしまえば、暗号学的ハッシュ関数を使えば「安全なハッシュ」が作れるわけです。パスワードの検証でもこの暗号学的ハッシュ関数が利用されます。そして、この暗号学的ハッシュ関数で有名なのがSHA-256です。
ところで
パスワードを暗号化ではなくハッシュ化して保存することをはじめて知ったとき、恥ずかしながら「どうやって検証するの?」と疑問に思ってしまいました。だってハッシュ化したら元のパスワード分かんなくなっちゃうし。
でもよくよく考えると、ユーザーが入力したパスワードをハッシュ化し保存してあるハッシュと比較すればよいので、元のパスワードは分からなくて何も問題ないのです。よくできてますね。
SHA-256 は何をしているのか
SHA-256 は実際どのような計算を行っているのでしょう。SHA-256 の仕様はFIPS 180-4で読むことできます。
今回自分で実装してみようかとも思ったのですが、SHA-256 の計算の様子をアニメーションで示してくれるsha256-animationがおもしろかったので使ってみます。
(sha256-animation の README が大変勉強になるので SHA-256 を学びたい方は覗いてください。下記は参考まで…)
準備
sha256-animation は Ruby で実装されているので Ruby の実行環境が必要です。
sudo apt install rubyその後リポジトリを clone してきます。
git clone https://github.com/in3rsha/sha256-animation.git実行してみる
次を実行すると文字列tamaosaのハッシュ値の計算がはじまります。
ruby sha256.rb tamaosa実行すると次のような計算がはじまります。

以下、各 step で何をしているのか簡単に触れてみます。
message
まず入力された文字列を 2 進数 bit 列に変換します。
padding
次に、SHA-256 のブロックサイズは 512bits なので、ビット列の大きさが 512 の倍数になるようにパディングします。
message blocks
次に、512bit ごとのメッセージブロックに入力値を切り取ります(入力が 512bit 以下ならメッセージブロックは 1 つ)。
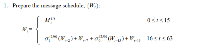
message schedule
次に、512bit のメッセージから 32bit×64 のメッセージスケジュールを生成します。FIPS 180-4 では次の部分です。

が元の 512bit 列を 32bit 毎に区切ったもので、が生成する 32bit 文字列ですね。 このとき使用される関数は、

で定義されています。は右ビット回転です。
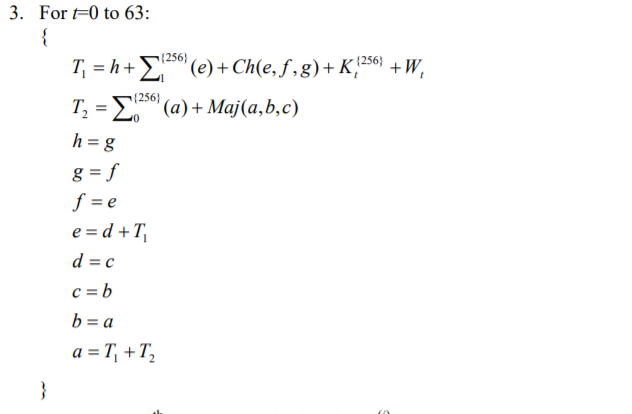
compression
メッセージスケジュールと、あらかじめ定義されている 64 個の定数と 8 個の初期値から、32bit×8 の値を得ます。FIPS 180-4 では次の部分です。

が算出する 32bit×8 の値ですね。このとき、メッセージブロックが複数ある場合は続けて同様の処理を続けます。
final hash value
最後に 32bit×8 の値を連結して 256bit のハッシュ値が得られます。完了!!!
おわりに
アルゴリズムをアニメーションすると分かりやすくて良い!!!